Question 1050063: A 3 mile boat race takes place in Detroit every year. The current in the river is 4 mph. What is the speed od the boat in still water if the total time of upstream and downstream is 1 hour
Found 3 solutions by josmiceli, josgarithmetic, ikleyn: Answer by josmiceli(19441) (Show Source): Answer by josgarithmetic(39620) (Show Source):
You can put this solution on YOUR website!
SPEED TIME DISTANCE
UPSTREAM r-4
DOWNSTREAM r+4
TOTAL 1 3
If you assign time up and time down each their own variable, then you would have THREE variables but still only TWO equations for the "totals". The two totals, one of time and one of distance, allows just picking one of these totals for assigning just one variable to either up or down stream.
SPEED TIME DISTANCE
UPSTREAM r-4 t
DOWNSTREAM r+4 1-t
TOTAL 1 3
Now, fill-in the distance expressions.
SPEED TIME DISTANCE
UPSTREAM r-4 t (r-4)*t
DOWNSTREAM r+4 1-t (r+4)(1-t)
TOTAL 1 3
Still not adequate.
Check the description carefully! "3 mile boat race", and "upstream and downstream". Maybe the round trip was 3 miles, and then up and downstreams are each one-and-a-half miles.
Let's try that understanding, and use variables assigned a little differently:
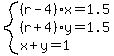
SPEED TIME DISTANCE
UPSTREAM r-4 x 1.5
DOWNSTREAM r+4 y 1.5
TOTAL 1 3
Resulting system of equations: 
Three equations in three unknown variables. Not linear system; but various ways possible to solve the system.
POSSIBLE STEPS
-


-


-



-
REVISED SYSTEM OF EQUATIONS: 
-
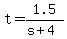
using y=1-x and substituting,



-

Unfinished here...
STEPS(DESCRIPTIVE)-ANOTHER APPROACH
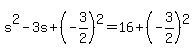
Another approach can use y=1-x and substitute this into each of the equations containing r. Doing so and carrying through the algebra will give 
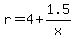
from which you can obtain

again, skipping some of the next steps here, but...

and you can continue some algebraic steps with general solution formula for quadratic equation to solve for r, which is what the question asked for.
-
-
If all this work is reliable, then but you need to use the PLUS form!
Answer by ikleyn(52805) (Show Source):
You can put this solution on YOUR website! .
It is not clear from the condition if 3 miles is the way in one direction or it is the sum of the ways to there and back.
Therefore, the text does not deserve the status of math problem.
|
|
|