Question 1048956: Michael averaged running a certain distance 1 mph faster than David ran the same distance. If it took Michael 36 minutes to run the distance and it took David 4 minutes longer to run the same distance, how far did the boys run?
I don't even know how to begin to set up this problem into an equation, other than distance=rateXtime.
Found 2 solutions by josgarithmetic, MathTherapy: Answer by josgarithmetic(39625) (Show Source): Answer by MathTherapy(10556) (Show Source):
You can put this solution on YOUR website! Michael averaged running a certain distance 1 mph faster than David ran the same distance. If it took Michael 36 minutes to run the distance and it took David 4 minutes longer to run the same distance, how far did the boys run?
I don't even know how to begin to set up this problem into an equation, other than distance=rateXtime.
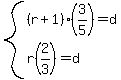
Let distance be D
Then Michael’s speed = , or , or , or 
David’s speed = , or , or , or , or 
We then get: 
10D = 9D + 6 ------- Multiplying by LCD, 6
10D – 9D = 6
D, or distance =
Nothing complex....it's that easy! You want DISTANCE, so solve for nothing else but DISTANCE!
|
|
|