SOLUTION: A State patrol officer is chasing a car he believes is speeding. The officer is traveling 70 mph to try to catch up with the car. But he can't say later that the other car was goi

Algebra ->  Customizable Word Problem Solvers  -> Travel -> SOLUTION: A State patrol officer is chasing a car he believes is speeding. The officer is traveling 70 mph to try to catch up with the car. But he can't say later that the other car was goi      Log On

Ad: Over 600 Algebra Word Problems at edhelper.com


   



Question 1031672: A State patrol officer is chasing a car he believes is speeding. The officer is traveling 70 mph to try to catch up with the car. But he can't say later that the other car was going 70 mph because the driver would obviously ask , "If we were going the same speed, how did you catch up? Obviously I was going slower than you. I wasn't speeding." The officer sees the driver pass a mile marker, one fourth of a mile ahead. From then marker, it takes the officer five minutes(1/12 of an hour) to catch up. How fast was the driver going?
Found 2 solutions by josmiceli, ikleyn:
Answer by josmiceli(19441) About Me  (Show Source):
You can put this solution on YOUR website!
Let +d+ = the distance the driver travels after
passing the mile marker when officer catches driver
The officer must travel +d+%2B+1%2F4+ mi to
catch driver
---------------
officer's speed is:
+70+=+d%2F%281%2F12%29+
+d+=+70%2F12+ mi
------------------
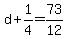
+d+%2B+1%2F4+=+70%2F12+%2B+3%2F12+
+d+%2B+1%2F4+=+73%2F12+
+73%2F12+=+70%2At+
+t+=+73%2F840+ hrs
------------------------
Let the driver's speed = +s+
The driver traveled +70%2F12+ mi in
+73%2F840+ hrs
+70%2F12+=+s%2A%28+73%2F840+%29+
+s+=+%28+840%2F73+%29%2A%28+70%2F12+%29+
+s+=+67.123
The driver's speed was 67.123 mi/hr
-------------------------------
check my math and ( preferably ) get
another opinion, too.

Answer by ikleyn(52915) About Me  (Show Source):
You can put this solution on YOUR website!
.
A State patrol officer is chasing a car he believes is speeding. The officer is traveling 70 mph to try to catch up with the car.
But he can't say later that the other car was going 70 mph because the driver would obviously ask , "If we were going the same speed,
how did you catch up? Obviously I was going slower than you.
I wasn't speeding." The officer sees the driver pass a mile marker, one fourth of a mile ahead.
From then marker, it takes the officer five minutes(1/12 of an hour) to catch up. How fast was the driver going?
~~~~~~~~~~~~~~~~~~~~~~~~~~~~~~~~~~~~~~~~~~~~~~~~

I solved it by another way and got the same answer ("the second opinion").