SOLUTION: Carlos takes 15 minutes longer than Amy does to make the 110-mile drive between two cities. Amy drives 4 miles an hour faster. How fast do Carlos and Amy drive?
Algebra ->
Customizable Word Problem Solvers
-> Travel
-> SOLUTION: Carlos takes 15 minutes longer than Amy does to make the 110-mile drive between two cities. Amy drives 4 miles an hour faster. How fast do Carlos and Amy drive?
Log On
Question 1024592: Carlos takes 15 minutes longer than Amy does to make the 110-mile drive between two cities. Amy drives 4 miles an hour faster. How fast do Carlos and Amy drive? Found 2 solutions by josgarithmetic, josmiceli:Answer by josgarithmetic(39630) (Show Source):
You can put this solution on YOUR website! The data described is placed into tabulated form.
Basic travel rate rule is RT=D relating rate time distance.
Fifteen minutes is .
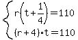
rate time distance
Carlos r t+1/4 110
Amy r+4 t 110
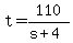
You can put this solution on YOUR website! Let = Carlos's speed in mi/hr = Amy's speed in mi/hr
Let = Amy's driving time in hrs = Carlos's time in hrs ( 15 min = 1/4 hr )
-----------------------
Carlos's equation:
(1)
Amy's equation:
(2)
------------------------
(2)
and
(1)
(1)
Multiply both sides by
(1)
(1)
(1)
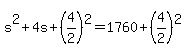
I can complete the square:
(1)
(1)
(1)
(1)
Take the square root of both sides
(1)
(1)
and
(2)
(2)
(2)
(2)
and
-------------------
Carlos drives 40 mi/hr
Amy drives 44 mi/hr
-------------------
check:
(1)
(1)
(1)
(1)
and
(2)
(2)
(2)
(2)
OK