SOLUTION: A person is travelling by train and car in his whole journey.. The matter is if he is travelling first by train till 60 kms and the rest by car, then his total journey has taken 4

Algebra ->  Customizable Word Problem Solvers  -> Travel -> SOLUTION: A person is travelling by train and car in his whole journey.. The matter is if he is travelling first by train till 60 kms and the rest by car, then his total journey has taken 4       Log On

Ad: Over 600 Algebra Word Problems at edhelper.com


   



Question 1011876: A person is travelling by train and car in his whole journey.. The matter is if he is travelling first by train till 60 kms and the rest by car, then his total journey has taken 4 hours.. but if he is travelling first by train till 100 kms, then his journey has taken 10 mins more than before.. According to the question, what was the speed of that train??
Answer by josgarithmetic(39621) About Me  (Show Source):
You can put this solution on YOUR website!
Two arrangements of travel are described. The individual time quantities are not given but overall time quantities are given. Descriptions of rates are not given. Let d be the trip's distance.

Arrangement A
                 rate    time    distance
TRAIN             R              60
CAR               r              d-60
Total                    4


Arrangement B
                rate     time     distance
TRAIN            R                 100
CAR              r                 d-100
Total                    4&1/6

Fill the missing time slots according to y=mx, x=y/m.

Arrangement A
                 rate    time        distance
TRAIN             R      60/R        60
CAR               r      (d-60)/r    d-60
Total                    4


Arrangement B
                rate     time        distance
TRAIN            R       100/R        100
CAR              r       (d-100)/r    d-100
Total                    4&1/6

Note that 10 minutes is 1%2F6 of an hour.

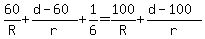
You have two time-sum equations to make. The system of equations is system%2860%2FR%2B%28d-60%29%2Fr=4%2C100%2FR%2B%28d-100%29%2Fr=4%261%2F6%29.

Do you see ANYTHING else?
MAYBE the time difference of the two arrangements?
60%2FR%2B%28d-60%29%2Fr%2B1%2F6=100%2FR%2B%28d-100%29%2Fr

A few steps of work on this time difference equation gives simplified 40%2FR-40%2Fr=1%2F6


Return now to the system of two equations with the three variables, r, R, d, and solve each of them for d; and then equate the expressions! I will not include showing those steps here, but you may get an equation consistent with r%2F6-100r%2FR%2B60r%2FR=0
or
r%2F6-40r%2FR=0

You have from this another system of two equations in just r and R:
system%2840%2FR-40%2Fr=1%2F6%2Cr%2F6-40r%2FR=0%29.


--
I did not try to solve this further.