SOLUTION: Physics: Pendulum. The period left-parenthesis Upper T ⁢ right-parenthesis of a pendulum is related to the length left-parenthesis Upper L right-parenthesis of the pendulum a

Algebra ->  Customizable Word Problem Solvers  -> Travel -> SOLUTION: Physics: Pendulum. The period left-parenthesis Upper T ⁢ right-parenthesis of a pendulum is related to the length left-parenthesis Upper L right-parenthesis of the pendulum a      Log On

Ad: Over 600 Algebra Word Problems at edhelper.com


   



Question 1009442: Physics: Pendulum. The period left-parenthesis Upper T ⁢ right-parenthesis of a pendulum is related to the length left-parenthesis Upper L right-parenthesis of the pendulum and the acceleration due to gravity left-parenthesis g right-parenthesis by the formula Upper T equals 2 pi StartRoot StartFraction Upper L Over g EndFraction EndRoot. If gravity is 32 ft/s2 and the period is 2 seconds, find the approximate length of the pendulum. (Note: 12 in equals 1 ft)
Round your answer to the nearest integer.

Answer by fractalier(6550) About Me  (Show Source):
You can put this solution on YOUR website!
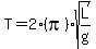
The formula for the period of a simple pendulum is
T+=+2%28pi%29%2Asqrt%28L%2Fg%29
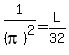
Now we plug in to find L...
2+=+2%28pi%29%2Asqrt%28L%2F32%29
1%2F%28pi%29+=+sqrt%28L%2F32%29
1%2F%28pi%29%5E2+=+L%2F32
L+=+32%2F%28pi%29%5E2
= 3.24 feet