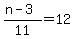
SOLUTION: Three is subtracted from a number and then the difference is divided by 11 the result is 12 what is the number?
Algebra
->
Customizable Word Problem Solvers
->
Numbers
-> SOLUTION: Three is subtracted from a number and then the difference is divided by 11 the result is 12 what is the number?
Log On
Ad:
Over 600 Algebra Word Problems at edhelper.com
Word Problems: Numbers, consecutive odd/even, digits
Word
Solvers
Solvers
Lessons
Lessons
Answers archive
Answers
Click here to see ALL problems on Numbers Word Problems
Question 999775
:
Three is subtracted from a number and then the difference is divided by 11 the result is 12 what is the number?
Answer by
macston(5194)
(
Show Source
):
You can
put this solution on YOUR website!
.
n=the number
.
ANSWER: The number is 135
.
CHECK:
.