SOLUTION: George is 4 years older then Jan, who is 4 years older than Jim, whos is 4 years older than Sam, who is 1/2 the age of George. HOw old is each person? * let x equal George's age

Algebra ->  Customizable Word Problem Solvers  -> Numbers -> SOLUTION: George is 4 years older then Jan, who is 4 years older than Jim, whos is 4 years older than Sam, who is 1/2 the age of George. HOw old is each person? * let x equal George's age       Log On

Ad: Over 600 Algebra Word Problems at edhelper.com


   



Question 99028: George is 4 years older then Jan, who is 4 years older than Jim, whos is 4 years older than Sam, who is 1/2 the age of George. HOw old is each person?
* let x equal George's age
*the sum of their ages is 72

Answer by doukungfoo(195) About Me  (Show Source):
You can put this solution on YOUR website!
Ok
we are given George's age is equal to x.
so now we have to express the other peoples ages in terms of x.
lets start with Sam.
Given: Sam is 1%2F2 the age of George
so Sam's age = x%2F2
Given: George is 4 years older than Jan.
so Jan's age = x+-+4
Given: Jim is 4 years older than Sam
so Jim's age = %28x%2F2%29%2B4
Now we have expressions for everyone's age in terms of x and we are given the sum of everyone's age to be 72 so we can write and equation to solve for x.
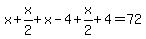
x%2B%28x%2F2%29%2B%28x-4%29%2B%28%28x%2F2%29%2B4%29=72
x%2Bx%2F2%2Bx-4%2Bx%2F2%2B4=72
2x%2Bx%2F2%2Bx%2F2=72
2x%2B2x%2F2=72
2x%2Bx=72
3x=72
x=24
So George is 24 years old. To find the age of the other people just plug in 24 for the x in each person age expression.