SOLUTION: form equations for each of the following statement: 1. the length of the rectangle is 7m, more than its breadth and its perimeter is 68m. Ans: L=7m w=? P=68m

Algebra ->  Customizable Word Problem Solvers  -> Numbers -> SOLUTION: form equations for each of the following statement: 1. the length of the rectangle is 7m, more than its breadth and its perimeter is 68m. Ans: L=7m w=? P=68m       Log On

Ad: Over 600 Algebra Word Problems at edhelper.com


   



Question 978051: form equations for each of the following statement:
1. the length of the rectangle is 7m, more than its breadth and its perimeter is 68m.
Ans: L=7m
w=?
P=68m
P=2(L+B)
68=2(7+W)
68=2x7+2W
68=14+2w
68-14=2w
54=2w
54/2=w
27=w
is this correct

Answer by josgarithmetic(39620) About Me  (Show Source):
You can put this solution on YOUR website!
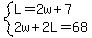
system%28L=2w%2B7%2C2w%2B2L=68%29, but you CAN start this completely in symbols if you want to, and sometimes doing that way is an excellent way.

2w%2B2%282w%2B7%29=68 using simple substitution;
Divide both sides by 2, just for convenience, since both members are products of 2;
w%2B2w%2B7=34
3w%2B7=34
3w=34-7
3w=27
highlight%28w=9%29--------Use this to evaluate L.

L=2w%2B7
L=2%2A9%2B7
L=18%2B7
highlight%28L=25%29