SOLUTION: the sum of the digits of a two digit number is 12. of the digits are reversed, the new number is 4/5 times of original number. Find the numbers

Algebra ->  Customizable Word Problem Solvers  -> Numbers -> SOLUTION: the sum of the digits of a two digit number is 12. of the digits are reversed, the new number is 4/5 times of original number. Find the numbers      Log On

Ad: Over 600 Algebra Word Problems at edhelper.com


   



Question 968553: the sum of the digits of a two digit number is 12. of the digits are reversed, the new number is 4/5 times of original number. Find the numbers
Answer by josgarithmetic(39630) About Me  (Show Source):
You can put this solution on YOUR website!
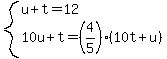
u and t;
10u+t is the number.
u+t=12.

Reversed, the number is 10t+u.
(10u+t)=(4/5)(10t+u).

Solve the system
system%28u%2Bt=12%2C10u%2Bt=%284%2F5%29%2810t%2Bu%29%29.