SOLUTION: The sum of the squares of two negative integer is 421, while the difference of the squares is 29. What is the larger integer?

Algebra ->  Customizable Word Problem Solvers  -> Numbers -> SOLUTION: The sum of the squares of two negative integer is 421, while the difference of the squares is 29. What is the larger integer?      Log On

Ad: Over 600 Algebra Word Problems at edhelper.com


   



Question 958960: The sum of the squares of two negative integer is 421, while the difference of the squares is 29. What is the larger integer?
Found 2 solutions by josgarithmetic, MathTherapy:
Answer by josgarithmetic(39630) About Me  (Show Source):
You can put this solution on YOUR website!
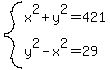
system%28x%5E2%2By%5E2=421%2Cy%5E2-x%5E2=29%29

x%5E2%2By%5E2%2By%5E2-x%5E2=421%2B29

2y%5E2=450

y%5E2=225

highlight%28y=-15%29 if you want the negative values.
x%5E2%2B225=421
x%5E2=421-225
x%5E2=221-25=200-4
x%5E2=196
highlight%28x=-13%29

Answer by MathTherapy(10557) About Me  (Show Source):
You can put this solution on YOUR website!

The sum of the squares of two negative integer is 421, while the difference of the squares is 29. What is the larger integer?
Larger negative integer: highlight_green%28-+14%29