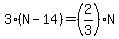
SOLUTION: I think of a number. I subtract 14 from the number and then treble the difference. The result is two-thirds of the number. Find the original number.

Algebra ->  Customizable Word Problem Solvers  -> Numbers -> SOLUTION: I think of a number. I subtract 14 from the number and then treble the difference. The result is two-thirds of the number. Find the original number.       Log On

Ad: Over 600 Algebra Word Problems at edhelper.com


   



Question 949661: I think of a number. I subtract 14 from the number and then treble the difference. The result is two-thirds of the number. Find the original number.
Answer by Fombitz(32388) About Me  (Show Source):