SOLUTION: if the length of a rectangle is increased by 3cm and the breadth is 4cm, the area of the new rectangle is 3 times that of the original rectangle.if the length is decreased by 1cm a

Algebra ->  Customizable Word Problem Solvers  -> Numbers -> SOLUTION: if the length of a rectangle is increased by 3cm and the breadth is 4cm, the area of the new rectangle is 3 times that of the original rectangle.if the length is decreased by 1cm a      Log On

Ad: Over 600 Algebra Word Problems at edhelper.com


   



Question 946397: if the length of a rectangle is increased by 3cm and the breadth is 4cm, the area of the new rectangle is 3 times that of the original rectangle.if the length is decreased by 1cm and the breadth increased by 1cm the rectangle becomes a square.find the length and breath of the original rectangle
Found 2 solutions by josgarithmetic, MathTherapy:
Answer by josgarithmetic(39618) About Me  (Show Source):
You can put this solution on YOUR website!
w and L, the original width (or breadth) and length.


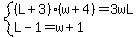
First part of description means %28L%2B3%29%28w%2B4%29=3wL.

The second part means (L-1) and (w+1) become the new dimensions and
L-1=w%2B1.

Non-linear system in w and L, and look for the intersection point or points.


system%28%28L%2B3%29%28w%2B4%29=3wL%2CL-1=w%2B1%29
-
wL%2B3w%2B4L%2B12=3wL
2wL-3w-4L-12=0
-
Use the linear equation to allow for substitution of one of the variables.
L=w%2B1%2B1
L=w%2B2
-
2w%28w%2B2%29-3w-4%28w%2B2%29-12=0
2w%5E2%2B4-3w-4w-8-12=0
2w%5E2-7w-4-12=0
highlight_green%282w%5E2-7w-16=0%29

Discriminant for prep to use general solution method:
%28-7%29%5E2-4%2A2%2A%28-16%29
49%2B8%2A16
49%2B128
highlight_green%28177%29
3%2A59, a prime factorization, still only using none repeated.

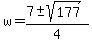
w=%287%2B-+sqrt%28177%29%29%2F4
The meaningful value for w is highlight%28w=%287%2Bsqrt%28177%29%29%2F4%29

Return to the use of highlight_green%28L=w%2B2%29 to get the corresponding value for L.

Answer by MathTherapy(10552) About Me  (Show Source):
You can put this solution on YOUR website!

if the length of a rectangle is increased by 3cm and the breadth is 4cm, the area of the new rectangle is 3 times that of the original rectangle.if the length is decreased by 1cm and the breadth increased by 1cm the rectangle becomes a square.find the length and breath of the original rectangle
Original length:   highlight_green%286%29 cm					 
Original breadth: highlight_green%284%29 cm
You can do the check!!
===================
If you need a complete and detailed solution, let me know!!
Send comments, “thank-yous,” and inquiries to “D” at MathMadEzy@aol.com.
Further help is available, online or in-person, for a fee, obviously.
For FREE info and answers to questions about the ASVAB exam, the NYS 3 – 8 city/state wide exams,GENERAL
MATH and HOMEWORK QUESTIONS, or MATH QUESTIONS related to the Regents Integrated Algebra,
Regents Geometry, Regents Algebra 2/Trigonometry, SHSAT, COOP/HSPT/TACHS, PSAT, SAT, ACT, SSAT/ISEE,
GRE, CLEP, and the TASC/GED, you can visit: http://asvabstudyzone.freeforums.net/.