Question 938084: Divide 46 into two parts such that the sum of the quotients obtained by dividing one part by 7 and the other part by 3may be equal to 10.
Answer by KMST(5328) (Show Source):
You can put this solution on YOUR website! Let and be the two parts of .

The quotients (if there is no remainder) would be
and such that
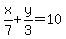
---> 
So, we have the system of linear equations
--> --> --> --> --> --> --> --> -->
NOTE: If the divisions have a quotient and a remainder,
the problem gets complicated.
We would have positive integer quotients and 
and positive integer remainders and .
The two parts of would be
with , so = 1, or 2, or 3, or 4, or 5, or 6, and
with , so = 1, or 2.
Then and ---> .
We would solve to get
.
For {{a}} and to be integers, with ,
must be a multiple of 
If it must be
---> ---> 
If it could be
---> ---> , or
---> --->
|
|
|