SOLUTION: how can i solve if a number is subtracted by 94 the result is 19 more than the product of 5 and the number?
Algebra
->
Customizable Word Problem Solvers
->
Numbers
-> SOLUTION: how can i solve if a number is subtracted by 94 the result is 19 more than the product of 5 and the number?
Log On
Ad:
Over 600 Algebra Word Problems at edhelper.com
Word Problems: Numbers, consecutive odd/even, digits
Word
Solvers
Solvers
Lessons
Lessons
Answers archive
Answers
Click here to see ALL problems on Numbers Word Problems
Question 911471
:
how can i solve if a number is subtracted by 94 the result is 19 more than the product of 5 and the number?
Answer by
Fombitz(32388)
(
Show Source
):
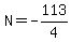
You can
put this solution on YOUR website!