SOLUTION: please help me solve this equation: one third of a number added to one quarter of a smaller number equals 18. the difference between the two numbers is 26. what are the two numbers

Algebra ->  Customizable Word Problem Solvers  -> Numbers -> SOLUTION: please help me solve this equation: one third of a number added to one quarter of a smaller number equals 18. the difference between the two numbers is 26. what are the two numbers      Log On

Ad: Over 600 Algebra Word Problems at edhelper.com


   



Question 904767: please help me solve this equation: one third of a number added to one quarter of a smaller number equals 18. the difference between the two numbers is 26. what are the two numbers??
Answer by josgarithmetic(39620) About Me  (Show Source):
You can put this solution on YOUR website!
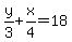
Description means, y%2F3%2Bx%2F4=18 and y-x=26.

Solve the system! Two linear equations in two unknowns.