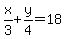
SOLUTION: please help me solve this equation: one third of a number added to one quarter of a smaller number equals 18. the difference between the two numbers is 26. what are the two numbers
Algebra ->
Customizable Word Problem Solvers
-> Numbers
-> SOLUTION: please help me solve this equation: one third of a number added to one quarter of a smaller number equals 18. the difference between the two numbers is 26. what are the two numbers
Log On
Question 904763: please help me solve this equation: one third of a number added to one quarter of a smaller number equals 18. the difference between the two numbers is 26. what are the two numbers? Answer by josgarithmetic(39620) (Show Source):