number of two digits = x
one-third of that number =  successor of that number = x+1
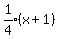
one-fourth of successor of that number =
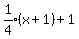
successor of that number = x+1
one-fourth of successor of that number =  One – third of a number of two digits is greater than one – fourth
of its successor by 1 . Find the number .
Replace the underlined words by
One – third of a number of two digits is greater than one – fourth
of its successor by 1 . Find the number .
Replace the underlined words by  
 is greater than one – fourth of its successor by 1 . Find the number .
Replace the underlined words by
 is greater than one – fourth of its successor by 1 . Find the number .
Replace the underlined words by  
 is greater than
 is greater than  by 1 . Find the number .
Mentally translate this by reasoning
If a first thing is greater than a second thing by ONE, that means that the
the first thing equals the second thing PLUS ONE.  So
 by 1 . Find the number .
Mentally translate this by reasoning
If a first thing is greater than a second thing by ONE, that means that the
the first thing equals the second thing PLUS ONE.  So


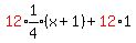
 Multiply through by
Multiply through by  


 4x = 3(x + 1) + 12
4x = 3x + 3 + 12
4x = 3x + 15
 x = 15
Turns out that they didn't need to tell us that it has two digits.
Checking:
One – third of 15, which is 5, is greater than one – fourth
of (15's) successor 16, (which is 4), by 1.  It's true that
5 is indeed greater than 4 by 1, so we have the correct 
answer, 15.
Edwin
4x = 3(x + 1) + 12
4x = 3x + 3 + 12
4x = 3x + 15
 x = 15
Turns out that they didn't need to tell us that it has two digits.
Checking:
One – third of 15, which is 5, is greater than one – fourth
of (15's) successor 16, (which is 4), by 1.  It's true that
5 is indeed greater than 4 by 1, so we have the correct 
answer, 15.
Edwin