SOLUTION: How much pure alcohol must be added to a mixture of 12 liters of alcohol and 30 liters of water to produce a 60% alcohol solution.

Algebra ->  Customizable Word Problem Solvers  -> Numbers -> SOLUTION: How much pure alcohol must be added to a mixture of 12 liters of alcohol and 30 liters of water to produce a 60% alcohol solution.      Log On

Ad: Over 600 Algebra Word Problems at edhelper.com


   



Question 825950: How much pure alcohol must be added to a mixture of 12 liters of alcohol and 30 liters of water to produce a 60% alcohol solution.
Answer by josgarithmetic(39618) About Me  (Show Source):
You can put this solution on YOUR website!
One material quantity known, the other quantity unknown, call x the unknown.
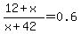
%2812%2Bx%29%2F%2812%2B30%2Bx%29=0.6 which is alcohol%2Fsolution

%2812%2Bx%29%2F%28x%2B42%29=0.6
x%2B12=%280.6%29%28x%2B42%29
x%2B12=0.6x%2B25.2
0.4x=25.2-12
0.4x=13.2
highlight%28x=33%29