Hi,
Twice the product of two numbers
and
is
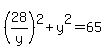
0r 2xy = 56, 
The sum of their squares is 65.
If both numbers are positive, what is the sum of the two numbers ?
|Substituting for x

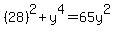
|Multiplying thru by y^2 so as all denominators = 1

|Letting S = y^2
S^2 - 65S + 784 = 0
(S-49)(S-16) = 0, S is 16,49 and
y is 4 or 7 and x is 7 0r 4 Note: "both number are positive"
the sum of the two numbers is 11