SOLUTION: If a number increases by 23, its positive square root increases by 1. what is the number

Algebra ->  Customizable Word Problem Solvers  -> Numbers -> SOLUTION: If a number increases by 23, its positive square root increases by 1. what is the number       Log On

Ad: Over 600 Algebra Word Problems at edhelper.com


   



Question 781758: If a number increases by 23, its positive square root increases by 1. what is the number

Answer by Menjax(62) About Me  (Show Source):
You can put this solution on YOUR website!

Interpretation:
The question is saying that the square root of x is one less than the square root of x+23
set up equation using logic:
sqrt%28x%29%2B1+=+sqrt%28x%2B23%29
Simplify:
Square both sides
x%2B2sqrt%28x%29%2B1=x%2B23
Minus 1 from both sides
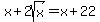
x%2B2sqrt%28x%29=x%2B22
minus x from both sides
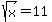
2sqrt%28x%29=22
Devide both sides by two
sqrt%28x%29=11
Square both sides
x=121