SOLUTION: The average of two numbers is 34. The fi rst number is three times the second number. What are the two numbers?
Algebra
->
Customizable Word Problem Solvers
->
Numbers
-> SOLUTION: The average of two numbers is 34. The fi rst number is three times the second number. What are the two numbers?
Log On
Ad:
Over 600 Algebra Word Problems at edhelper.com
Word Problems: Numbers, consecutive odd/even, digits
Word
Solvers
Solvers
Lessons
Lessons
Answers archive
Answers
Click here to see ALL problems on Numbers Word Problems
Question 714175
:
The average of two numbers is 34. The fi
rst number is three times the second number. What are the two numbers?
Answer by
josgarithmetic(39630)
(
Show Source
):
You can
put this solution on YOUR website!
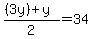
You are saying then, you have numbers x and y.
and
.