SOLUTION: find a two digit number such that its digits are reversed when 9 is added

Algebra ->  Customizable Word Problem Solvers  -> Numbers -> SOLUTION: find a two digit number such that its digits are reversed when 9 is added      Log On

Ad: Over 600 Algebra Word Problems at edhelper.com


   



Question 708709: find a two digit number such that its digits are reversed when 9 is added
Answer by josgarithmetic(39620) About Me  (Show Source):
You can put this solution on YOUR website!
Two-digit number, 10%2AT%2BU
9%2B10T%2BU=10U%2BT
.
9T=-9%2BpU
9T=9U-9
T=U-1

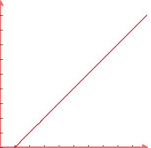
A graph of this linear equation helps to see how the digits would work. Tens as a function of the Units.
graph%28300%2C300%2C0%2C10%2C0%2C10%2Cx-1%29

The vertical axis intercept is not important. We only deal with digits which themselves are positive numbers. The tens cannot here be zero since we require a TWO digit number. Our tens must be at least a 1, and so by the line present (or our equation), 12 is our smallest possible number, and 89 is our largest possible number. Reminder: TWO-digit number. For any allowable Unit digit or Ten's digit, we can read the corresponding Ten's digit or Units digit.

We can check that 12 works. 12+9=21.
We can check that 89 works. 89+9=98.
We can check any other arrangement: 56+9=65.