Question 67066: If 30 men can plant 1000 trees in 9 days, how many days would it take for 36 men to set out 4400 trees? Found 2 solutions by ankor@dixie-net.com, stanbon:Answer by ankor@dixie-net.com(22740) (Show Source):
You can put this solution on YOUR website! If 30 men can plant 1000 trees in 9 days, how many days would it take for 36 men to set out 4400 trees?
:
Using man/days: 30*9 = 270 man/days to plant 1000 trees.
:
Then 4.4 * 270 = 1188 man/days to plant 4400 trees.
:
Let x = number of days for 36 men to plant 4400 trees
:
36x = 1188
x = 1188/36
x = 33 days for 36 men to plant 4400 trees
:
:
Check our solution doing it another way
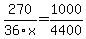
Cross mult
36x * 1000 = 270*4400
36000x = 1188000
x = 1188000/36000
x = 33 days
You can put this solution on YOUR website! If 30 men can plant 1000 trees in 9 days, how many days would it take for 36 men to set out 4400 trees?
--------------
Let number of days = "x".
You are told: (9 days)(30 men)=1000 trees
Then 1 day=[1000 t]/(270m)
---------
EQUATION:
(x days)(36 m) = 4400 t
x=[4400 t]/[36 man days]
Substitute for days to get:
x=[4400 t]/[36 m(1000 t)/(270m)]
Notice: m's and t's cancel and you get:
x= 4400*270/36000
x= 33
-----------
Number of days required for 36 men to plant 4400 trees is 33
Cheers,
Stan H.