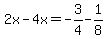
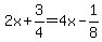
SOLUTION: the sum of twice a number and 3/4 is the same as the difference of 4 times the number and 1/8.find the number
Algebra
->
Customizable Word Problem Solvers
->
Numbers
-> SOLUTION: the sum of twice a number and 3/4 is the same as the difference of 4 times the number and 1/8.find the number
Log On
Ad:
Over 600 Algebra Word Problems at edhelper.com
Word Problems: Numbers, consecutive odd/even, digits
Word
Solvers
Solvers
Lessons
Lessons
Answers archive
Answers
Click here to see ALL problems on Numbers Word Problems
Question 658667
:
the sum of twice a number and 3/4 is the same as the difference of 4 times the number and 1/8.find the number
Answer by
Tatiana_Stebko(1539)
(
Show Source
):
You can
put this solution on YOUR website!
Let x is the number