SOLUTION: A two-digit number is 4 times the sum of it's digits. The difference of the digits is 4. What is the number?

Algebra ->  Customizable Word Problem Solvers  -> Numbers -> SOLUTION: A two-digit number is 4 times the sum of it's digits. The difference of the digits is 4. What is the number?      Log On

Ad: Over 600 Algebra Word Problems at edhelper.com


   



Question 484946: A two-digit number is 4 times the sum of it's digits. The difference of the digits is 4. What is the number?
Answer by Tatiana_Stebko(1539) About Me  (Show Source):
You can put this solution on YOUR website!
Let xy is a number then we can write it 10x%2By
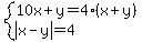
The sum of digits is x%2By, the number is 4 times the sum of it's digits, so 10x%2By=4%28x%2By%29
The difference of the digits is 4, so abs%28x-y%29=4
The sustem
system+%2810x%2By=4%28x%2By%29%2C+abs%28x-y%29=4%29
.
1. system+%2810x%2By=4%28x%2By%29%2C+x-y=4%29
system+%2810x%2By=4x%2B4y%2C+x=4%2By%29
system+%286x-3y=0%2C+x=4%2By%29
system+%286%284%2By%29-3y=0%2C+x=4%2By%29
24%2B6y-3y=0
3y=-24
y=-24%2F3=-8exterior root
.
2. system+%2810x%2By=4%28x%2By%29%2C+x-y=-4%29
system+%286x-3y=0%2C+x=-4%2By%29
system+%286%28-4%2By%29-3y=0%2C+x=-4%2By%29
-24%2B6y-3y=0
3y=24
y=24%2F3=8
x=-4%2B8=4
The number is 48