SOLUTION: this is the kind of problem that I am having trouble with:
Two numbers differ by 6 and their reciprocals differ by 8/15. Find the numbers.
I have been able to figure out 2 equa
Algebra ->
Customizable Word Problem Solvers
-> Numbers
-> SOLUTION: this is the kind of problem that I am having trouble with:
Two numbers differ by 6 and their reciprocals differ by 8/15. Find the numbers.
I have been able to figure out 2 equa
Log On
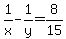
Question 387968: this is the kind of problem that I am having trouble with:
Two numbers differ by 6 and their reciprocals differ by 8/15. Find the numbers.
I have been able to figure out 2 equations based on that information:
x - y = 6 and 1/x - 1/y = 8/15
are these equations accurate?
If not, what should they be, instead?
If so, what are the next steps that I should take? Answer by jim_thompson5910(35256) (Show Source):