Question 343425: the sum of three consective even integers is 48 more than twice the smallest of the three integers. find the integers. Answer by ewatrrr(24785) (Show Source):
You can put this solution on YOUR website! NOTE: QUESTION STATES "CONSECUTIVE EVEN INTEGERS"
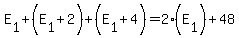
LET E[1] REPRESENT THE FIRST OF THE THREE "CONSECUTIVE EVEN INTEGERS"
THE QUESTION STATES THE FOLLOWING TO BE TRUE:
SOLVE:
COMBINE
SUBTACT FROM BOTH SIDES OF THE EQUATION
SUBTACT 6 FROM BOTH SIDES OF THE EQUATION
CONSECUTIVE EVEN INTEGERS ARE 42,44,46
CHECK YOUR ANSWER!! 42+44+46 = 132 = 84 +48