SOLUTION: determine two consecutive positive integers whose squares sum to 925
Algebra
->
Customizable Word Problem Solvers
->
Numbers
-> SOLUTION: determine two consecutive positive integers whose squares sum to 925
Log On
Ad:
Over 600 Algebra Word Problems at edhelper.com
Word Problems: Numbers, consecutive odd/even, digits
Word
Solvers
Solvers
Lessons
Lessons
Answers archive
Answers
Click here to see ALL problems on Numbers Word Problems
Question 337808
:
determine two consecutive positive integers whose squares sum to 925
Found 2 solutions by
jim_thompson5910, Alan3354
:
Answer by
jim_thompson5910(35256)
(
Show Source
):
You can
put this solution on YOUR website!
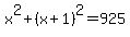
Hint: "two consecutive positive integers" means that we have the numbers 'x' and 'x+1'. So if we want to "determine two consecutive positive integers whose squares sum to 925", then we need to solve
Answer by
Alan3354(69443)
(
Show Source
):
You can
put this solution on YOUR website!
sqrt(925/2) =~ 21.5
--> 21 and 22
----------------