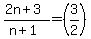
Question 316965: If twice a number is added to 3 and is divided by the muber plus 1 the result is three halve. What is the number? Answer by JBarnum(2146) (Show Source):
You can put this solution on YOUR website! personally i think thats a poorly written word problem if in book or by a teacher...Id simply state: "If twice a number added to 3 and divided by the number plus 1 is three halves, what is the number?"
id treat this the same way one would solve a proportion, that being cross multiplying distribute subtract 3n subtract 6
Check
Correct