SOLUTION: The question is: The Sum of a number and it's reciprocal is 10/3. What is the number? I hope you can get back to me before monday. Thanks.

Algebra ->  Customizable Word Problem Solvers  -> Numbers -> SOLUTION: The question is: The Sum of a number and it's reciprocal is 10/3. What is the number? I hope you can get back to me before monday. Thanks.      Log On

Ad: Over 600 Algebra Word Problems at edhelper.com


   



Question 31243This question is from textbook Algebra: Structure and Method
: The question is:
The Sum of a number and it's reciprocal is 10/3. What is the number?
I hope you can get back to me before monday.
Thanks.
This question is from textbook Algebra: Structure and Method

Answer by mbarugel(146) About Me  (Show Source):
You can put this solution on YOUR website!
Hello!
Given a number X, we call 1/X its reciprocal. So, for example 1/2 is the reciprocal of 2.
So we have that the sum of a number and its reciprocal (X + 1/X) is 10/3:
X+%2B+1%2FX+=+10%2F3
Multiply everything by X in order to get rid of the 1/X:
X%2AX+%2B+1%2FX%2AX+=+10%2F3%2AX
X%5E2+%2B+1+=+%2810%2F3%29X
X%5E2+-+%2810%2F3%29X+%2B+1+=+0
This is a quadratic equation, which can be solved using the quadratic formula:
x%5B12%5D+=+%28-b%2B-sqrt%28+b%5E2-4ac+%29%29%2F2a+
So we have:
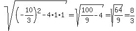
sqrt%28%28-10%2F3%29%5E2+-+4%2A1%2A1%29+=+sqrt%28100%2F9-4%29+=+sqrt%2864%2F9%29+=+8%2F3


So the two possible numbers that solve your problem are:
x%5B1%5D+=+3
x%5B2%5D+=+1%2F3

I hope this helps!
Get more answers at Online Math Answers.com!