SOLUTION: Divide. (10x^2 + 13x - 3) ÷ (5x - 1)

Algebra ->  Customizable Word Problem Solvers  -> Numbers -> SOLUTION: Divide. (10x^2 + 13x - 3) ÷ (5x - 1)       Log On

Ad: Over 600 Algebra Word Problems at edhelper.com


   



Question 292844: Divide.
(10x^2 + 13x - 3) ÷ (5x - 1)

Found 2 solutions by lmc22391, MathTherapy:
Answer by lmc22391(7) About Me  (Show Source):
You can put this solution on YOUR website!
(10x^2/5x-1) + (13x-5x) + (-3+1)
(10x^2/5x-1) + 8X + -2

Answer by MathTherapy(10552) About Me  (Show Source):
You can put this solution on YOUR website!
Divide.
(10x^2 + 13x - 3) ÷ (5x - 1)

%2810x%5E2+%2B+13x+-+3%29%2F%285x+-+1%29

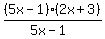
We first need to get the factors of the trinomial in the numerator. Therefore, 10x%5E2+%2B+13x+-+3 becomes 10x%5E2+%2B+15x+-+2x+-+3, and then becomes: 5x(2x + 3) - 1(2x + 3), or (5x - 1)(2x + 3).

We will then have: %285x+-+1%29%282x+%2B+3%29%2F%285x+-+1%29, or cross%28%285x+-+1%29%29%282x+%2B+3%29%2Fcross%28%285x+-+1%29%29

Canceling (5x - 1) in the numerator and denominator gives us a final answer of: highlight_green%282x+%2B+3%29.