SOLUTION: if the difference of a number and 4 is doubled the result is 1/4 less than the number. find the number
Algebra
->
Customizable Word Problem Solvers
->
Numbers
-> SOLUTION: if the difference of a number and 4 is doubled the result is 1/4 less than the number. find the number
Log On
Ad:
Over 600 Algebra Word Problems at edhelper.com
Word Problems: Numbers, consecutive odd/even, digits
Word
Solvers
Solvers
Lessons
Lessons
Answers archive
Answers
Click here to see ALL problems on Numbers Word Problems
Question 268930
:
if the difference of a number and 4 is doubled the result is 1/4 less than the number. find the number
Answer by
drk(1908)
(
Show Source
):
You can
put this solution on YOUR website!
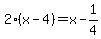
Let x be the number.
From above
distribute to get
subtract x to get
add 8 to get