SOLUTION: please help me answer the following problem: an elevator went from the bottom to the top of a building 140m high, remained ther efor 24 seconds, and returned to the bottom in an e

Algebra ->  Customizable Word Problem Solvers  -> Numbers -> SOLUTION: please help me answer the following problem: an elevator went from the bottom to the top of a building 140m high, remained ther efor 24 seconds, and returned to the bottom in an e      Log On

Ad: Over 600 Algebra Word Problems at edhelper.com


   



Question 24847: please help me answer the following problem:
an elevator went from the bottom to the top of a building 140m high, remained ther efor 24 seconds, and returned to the bottom in an elapsed time of 2minutes. find the elvator's rates af ascent and descent if the latter is 1 m/s greater than the former.
thanks
javier

Answer by rapaljer(4671) About Me  (Show Source):
You can put this solution on YOUR website!
Let x = rate of the elevator going up
x+1 = rate of the elevator going down.

Since the elevator makes the entire trip in 2 minutes (i.e., 120 seconds) with a 24 second stop at the top, it actually spends a total of 96 seconds moving up and down.

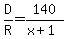
Basic formula: D= RT, from which T+=+D%2FR.

Time going up =+D%2FR+=+140%2Fx
Time going down = D%2FR+=+140%2F%28x%2B1%29

The equation is based upon the total time = 96 seconds:
T%5Bup%5D+%2B+T%5Bdown%5D+=+96
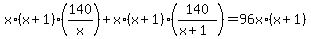
140%2Fx+%2B+140%2F%28x%2B1%29+=+96

The LCD = x(x+1), so multiply both sides of this fractional equation by x(x+1):


All the denominator factors divide out leaving:
140%28x%2B1%29+%2B+140x+=+96x%28x%2B1%29+
140x+%2B+140+%2B+140x+=+96x%5E2+%2B+96x+
280x+%2B+140+=+96x%5E2+%2B+96x

This is a quadratic, which you must set equal to zero:
0+=+96x%5E2+%2B96x+-+280x+-+140+
0=+96x%5E2+-+184x+-+140+

Take out a common factor of 4:
0+=+4%2824x%5E2+-+46x+-35+%29

Either solve by factoring or quadratic formula or graphing calculator methods, take your pick. IT DOES FACTOR, believe it or not!!
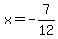
0+=+4%2812x+%2B+7+%29%282x+-5%29+
x+=+-7%2F12 Reject the negative answer!
x+=+5%2F2+ or 2.5 m/sec UP
x%2B1=+3.5 m/sec DOWN.

NICE PROBLEM!!

R^2 at SCC