SOLUTION: two positive numbers have a difference of 2. their reciprocals have a sum of 20/21. what are the numbers

Algebra ->  Customizable Word Problem Solvers  -> Numbers -> SOLUTION: two positive numbers have a difference of 2. their reciprocals have a sum of 20/21. what are the numbers      Log On

Ad: Over 600 Algebra Word Problems at edhelper.com


   



Question 238452: two positive numbers have a difference of 2. their reciprocals have a sum of 20/21. what are the numbers
Answer by Fombitz(32388) About Me  (Show Source):
You can put this solution on YOUR website!
A-B=2
1%2FA%2B1%2FB=20%2F21
From eq. 1
A=B%2B2
Substitute into eq. 2,
1%2F%28B%2B2%29%2B1%2FB=20%2F21
Multiply by B%28B%2B2%29
B%2B%28B%2B2%29=%2820%2F21%29B%28B%2B2%29
2B%2B2=%2820%2F21%29B%28B%2B2%29
Multiply by 21%29
42B%2B42=20B%28B%2B2%29
42B%2B42=20B%5E2%2B40B%29
20B%5E2-2B-42=0
10B%5E2-B-21=0
%285B%2B7%29%282B-3%29=0
Two solutions:
5B%2B7=0
B=-7%2F5
.
.
2B-3=0
B=3%2F2
Since the solution only allows positive numbers, we'll only use B=3/2.
Now solve for A.
A=B%2B2
A=3%2F2%2B4%2F2=7%2F2
Check the solution.
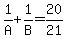
1%2FA%2B1%2FB=20%2F21
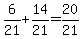
2%2F7%2B2%2F3=20%2F21
6%2F21%2B14%2F21=20%2F21
20%2F21=20%2F21
The solution checks out.