SOLUTION: One number is 13 more than another, and the sum of the smaller number and twice the larger number is 50. Find the two numbers. This is what I tried. x + y = 50

Algebra ->  Customizable Word Problem Solvers  -> Numbers -> SOLUTION: One number is 13 more than another, and the sum of the smaller number and twice the larger number is 50. Find the two numbers. This is what I tried. x + y = 50       Log On

Ad: Over 600 Algebra Word Problems at edhelper.com


   



Question 229176: One number is 13 more than another, and the sum of the smaller number and twice the larger number is 50. Find the two numbers.
This is what I tried. x + y = 50
y = 2x + 13

x + y = 50
y = 2x + 13
x + (2x + 13) = 50
3x + 13 = 50

Found 2 solutions by stanbon, Edwin McCravy:
Answer by stanbon(75887) About Me  (Show Source):
You can put this solution on YOUR website!
One number is 13 more than another, and the sum of the smaller number and twice the larger number is 50. Find the two numbers.
------------
Equations:
x = y+13
y+2x = 50
---------------
Substitute for "x" and solve for "y":
y + 2(y+13) = 50
y + 2y + 26 = 50
3y = 24
y = 8
---
Since x = y + 13, x = 21
-------------------------------
Cheers,
Stan H.

Answer by Edwin McCravy(20065) About Me  (Show Source):
You can put this solution on YOUR website!
One number is 13 more than another, and the sum of the smaller number and twice the larger number is 50. Find the two numbers.
This is what I tried. x + y = 50


No! That would say that the sum of the numbers is 50. You
don't have that.

                       y = 2x + 13

No!  That would say that the larger is 13 more than twice the smaller.
You don't have that, either.

Let's read more carefully:

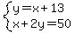
Let the smaller be x and the larger be y.

>>...One number is 13 more than another...<<

That says the larger is the smaller plus 13, or

y = x + 13

Now read:

>>...the sum of the smaller number and twice the larger number is 50...<<

The smaller plus 2 times the larger is 50, or
                       
                       x + 2y = 50

So you have the system:

system%28y=x%2B13%2Cx%2B2y=50%29

Solve that and get x=8 and y = 21.

Edwin