SOLUTION: Find the three consecutive integers such that the sum of the first and second is 9 more than half of the third

Algebra ->  Customizable Word Problem Solvers  -> Numbers -> SOLUTION: Find the three consecutive integers such that the sum of the first and second is 9 more than half of the third      Log On

Ad: Over 600 Algebra Word Problems at edhelper.com


   



Question 221309: Find the three consecutive integers such that the sum of the first and second is 9 more than half of the third
Answer by drj(1380) About Me  (Show Source):
You can put this solution on YOUR website!
Find the three consecutive integers such that the sum of the first and second is 9 more than half of the third

Step 1. Let n be the first integer.

Step 2. Let n+1 and n+2 be the next two consecutive integers.

Step 3. Let n+n+1=2n+1 be the sum of the first and second integers.

Step 4. Let %28n%2B2%29%2F2%2B9 since 9 more than half of the third integer.

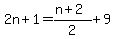
Step 5. Then 2n%2B1=%28n%2B2%29%2F2%2B9 since the sum of the first and second is 9 more than half of the third

Step 6. Solving yields the following steps

Multiply 2 to both sides of the equation

2%282n%2B1%29=2%28n%2B2%29%2F2%2B2%2A9

4n%2B2=n%2B2%2B18

4n%2B2=n%2B20

Subtract n+2 from both sides of the equation

4n%2B2-n-2=n%2B20-n-2

3n=18

Divide 3 to both sides of the equation

3n%2F3=18%2F3

n=6 n%2B1=7 and n%2B2=8

Check 2n%2B1=%28n%2B2%29%2F2%2B9 in Step 5 2*6+1=8/2+9 or 12+1=4+9 which is a true statement.

Step 7. ANSWER: The three consecutive and even integers are 6, 7 and 8.

I hope the above steps were helpful.

For FREE Step-By-Step videos in Introduction to Algebra, please visit http://www.FreedomUniversity.TV/courses/IntroAlgebra and for Trigonometry visit http://www.FreedomUniversity.TV/courses/Trigonometry.

Good luck in your studies!

Respectfully,
Dr J