SOLUTION: Five more than 1/4 of a number is 2/3 of that number. Find the number

Algebra ->  Customizable Word Problem Solvers  -> Numbers -> SOLUTION: Five more than 1/4 of a number is 2/3 of that number. Find the number      Log On

Ad: Over 600 Algebra Word Problems at edhelper.com


   



Question 158483: Five more than 1/4 of a number is 2/3 of that number. Find the number
Answer by Electrified_Levi(103) About Me  (Show Source):
You can put this solution on YOUR website!
Hi, Hope I can help,
.
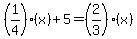
Five more than +1%2F4+ of a number is 2%2F3 of that number. Find the number
.
We are trying to find a number, since we need to find one number, we have 1 variable
.
We will name the variable/number "x"
.
Five more than +1%2F4+ of a number is 2%2F3 of that number. Find the number(replace "a number", and "that number" with "x")
.
Five more than +1%2F4+ of "x" is 2%2F3 of "x". Find the number
.
This is how you would write the equation
.
+%281%2F4%29%28x%29+%2B+5+=+%282%2F3%29%28x%29+
.
We will multiply it out
.
+%281%2F4%29%28x%29+%2B+5+=+%282%2F3%29%28x%29+ = +%281%2F4%29%28x%2F1%29+%2B+5+=+%282%2F3%29%28x%2F1%29+ = +%28x%2F4%29%2B+5+=+%282x%2F3%29+
.
We will need to get rid of the fraction by multiplying each side by "12"
.
+%28x%2F4%29%2B+5+=+%282x%2F3%29+ = +%2812%29%28%28x%2F4%29%2B+5%29+=+%2812%29%282x%2F3%29+ = +%2812%29%28x%2F4%29%2B+%2812%29%285%29+=+%2812%29%282x%2F3%29+ = +%2812%2F1%29%28x%2F4%29%2B+%2812%2F1%29%285%29+=+%2812%2F1%29%282x%2F3%29+
.
+%2812%2F1%29%28x%2F4%29%2B+%2812%2F1%29%285%29+=+%2812%2F1%29%282x%2F3%29+ = +%2812x%2F4%29%2B+60+=+%2824x%2F3%29+ = +%283x%29%2B+60+=+%288x%29+ = +3x%2B+60+=+8x+
.
We will need to move "3x" to the right side
.
+3x%2B+60+=+8x+ = +3x+-+3x+%2B+60+=+8x+-+3x+ = ++60+=+8x+-+3x+ = ++60+=+5x+ = ++5x+=+60+
.
To find "x"(our number) we will divide each side by "5"
.
++5x+=+60+ = ++5x%2F5+=+60%2F5+ = ++x+=+60%2F5+ = ++x+=+12+
.
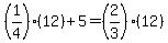
"12" is our number, we can check by replacing "x" with "12" in our equation
.
+%281%2F4%29%28x%29+%2B+5+=+%282%2F3%29%28x%29+ = +%281%2F4%29%2812%29+%2B+5+=+%282%2F3%29%2812%29+ = +%283%29+%2B+5+=+%288%29+ = +3+%2B+5+=+8+ = +8+=+8+ (True)
.
Your answer is +12+
.
Hope I helped, Levi