SOLUTION: What is a two digit number equal to three times the product of its digits?

Algebra ->  Customizable Word Problem Solvers  -> Numbers -> SOLUTION: What is a two digit number equal to three times the product of its digits?      Log On

Ad: Over 600 Algebra Word Problems at edhelper.com


   



Question 153381: What is a two digit number equal to three times the product of its digits?
Answer by Edwin McCravy(20056) About Me  (Show Source):
You can put this solution on YOUR website!
What is a two digit number equal to three times the product of its digits?

10t+%2B+u+=+3tu

Solve for u

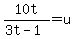
10t=3tu-u

10t=u%283t-1%29

10t%2F%283t-1%29=u

Do long division using only integers:

         3 
3t-1)10t+0
      9t-3
       t+3

3%2B%28t%2B3%29%2F%283t-1%29=u

So we can tell from that that

u must be larger than 3.  So try u = 4

10t+%2B+u+=+3tu

10t+%2B+%284%29+=+3t%284%29

10t+%2B+4+=+12t

4=2t

2=t

So 24 is a solution

The product of its digits is 8, and 24 is 3 times 8.

Try u=5

10t+%2B+u+=+3tu

10t+%2B+%285%29+=+3t%285%29

10t+%2B+5+=+15t

5=5t

1=t 

So 15 is another solution

The product of its digits is 5, and 15 is 3 times 5.

Those are the only two solutions.

Edwin