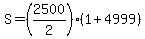
You can put this solution on YOUR website! You can use the formula for the partial sum:
Where: n = the number of terms = 2500 (because there are 2500 odd integers between 1 and 5000)
a1 = the first term (That's 1)
an = the last (odd) term (That's 4999)