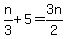
SOLUTION: 1/3 of a number is added to 5 the result is one and a half times the original number find the number
Algebra
->
Customizable Word Problem Solvers
->
Numbers
-> SOLUTION: 1/3 of a number is added to 5 the result is one and a half times the original number find the number
Log On
Ad:
Over 600 Algebra Word Problems at edhelper.com
Word Problems: Numbers, consecutive odd/even, digits
Word
Solvers
Solvers
Lessons
Lessons
Answers archive
Answers
Click here to see ALL problems on Numbers Word Problems
Question 1162856
:
1/3 of a number is added to 5 the result is one and a half times the original number find the number
Answer by
Alan3354(69443)
(
Show Source
):
You can
put this solution on YOUR website!
1/3 of a number is added to 5 the result is one and a half times the original number find the number
---------------