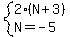
SOLUTION: Given the expression “twice the sum of a number and three“, what is the value of the expression if the number is equal to -5?
Algebra
->
Customizable Word Problem Solvers
->
Numbers
-> SOLUTION: Given the expression “twice the sum of a number and three“, what is the value of the expression if the number is equal to -5?
Log On
Ad:
Over 600 Algebra Word Problems at edhelper.com
Word Problems: Numbers, consecutive odd/even, digits
Word
Solvers
Solvers
Lessons
Lessons
Answers archive
Answers
Click here to see ALL problems on Numbers Word Problems
Question 1147170
:
Given the expression “twice the sum of a number and three“, what is the value of the expression if the number is equal to -5?
Answer by
josgarithmetic(39630)
(
Show Source
):
You can
put this solution on YOUR website!