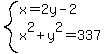
SOLUTION: One positive integer is 2 less than twice another. The sum of their squares is 337. Find the integers
Algebra
->
Customizable Word Problem Solvers
->
Numbers
-> SOLUTION: One positive integer is 2 less than twice another. The sum of their squares is 337. Find the integers
Log On
Ad:
Over 600 Algebra Word Problems at edhelper.com
Word Problems: Numbers, consecutive odd/even, digits
Word
Solvers
Solvers
Lessons
Lessons
Answers archive
Answers
Click here to see ALL problems on Numbers Word Problems
Question 1107148
:
One positive integer is 2 less than twice another. The sum of their squares is 337. Find the integers
Answer by
josgarithmetic(39618)
(
Show Source
):
You can
put this solution on YOUR website!
Substitute, simplify, and solve the quadratic equation.