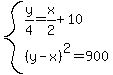
SOLUTION: I知 thinking of 2 numbers such that 25% of the larger is 10 more than 50% of the smaller and the square of their difference is 900. Find the product of the 2 numbers

Algebra ->  Customizable Word Problem Solvers  -> Numbers -> SOLUTION: I知 thinking of 2 numbers such that 25% of the larger is 10 more than 50% of the smaller and the square of their difference is 900. Find the product of the 2 numbers      Log On

Ad: Over 600 Algebra Word Problems at edhelper.com


   



Question 1098293: I知 thinking of 2 numbers such that 25% of the larger is 10 more than 50% of the smaller and the square of their difference is 900. Find the product of the 2 numbers
Answer by josgarithmetic(39799) About Me  (Show Source):