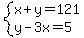
SOLUTION: The sum of two numbers is 121. If three times the smaller number is subtracted from the larger​ number, the result is 5. Find the two numbers.

Algebra ->  Customizable Word Problem Solvers  -> Numbers -> SOLUTION: The sum of two numbers is 121. If three times the smaller number is subtracted from the larger​ number, the result is 5. Find the two numbers.      Log On

Ad: Over 600 Algebra Word Problems at edhelper.com


   



Question 1087335: The sum of two numbers is 121. If three times the smaller number is subtracted from the larger​ number, the result is 5. Find the two numbers.
Answer by josgarithmetic(39618) About Me  (Show Source):