SOLUTION: One number is half of another. If the sum of both equals 18, find the two numbers.
Algebra
->
Customizable Word Problem Solvers
->
Numbers
-> SOLUTION: One number is half of another. If the sum of both equals 18, find the two numbers.
Log On
Ad:
Over 600 Algebra Word Problems at edhelper.com
Word Problems: Numbers, consecutive odd/even, digits
Word
Solvers
Solvers
Lessons
Lessons
Answers archive
Answers
Click here to see ALL problems on Numbers Word Problems
Question 1041628
:
One number is half of another. If the sum of both equals 18, find the two numbers.
Answer by
Fombitz(32388)
(
Show Source
):
You can
put this solution on YOUR website!
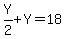
Let the two numbers be X and Y.
and
Substituting,
So then,