SOLUTION: The sum of two numbers is 13 more than twice the first number. Their difference is 14 less than the second number. Find each of the numbers

Algebra ->  Customizable Word Problem Solvers  -> Numbers -> SOLUTION: The sum of two numbers is 13 more than twice the first number. Their difference is 14 less than the second number. Find each of the numbers      Log On

Ad: Over 600 Algebra Word Problems at edhelper.com


   



Question 1005138: The sum of two numbers is 13 more than twice the first number. Their difference is 14 less than the second number. Find each of the numbers
Found 2 solutions by josgarithmetic, MathTherapy:
Answer by josgarithmetic(39618) About Me  (Show Source):
You can put this solution on YOUR website!
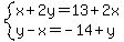
First and second numbers, x and y.

system%28x%2B2y=13%2B2x%2Cy-x=-14%2By%29

See carefully that the second equation of the description gives x=14.

Answer by MathTherapy(10552) About Me  (Show Source):
You can put this solution on YOUR website!
The sum of two numbers is 13 more than twice the first number. Their difference is 14 less than the second number. Find each of the numbers
This is quite vague!
Set of numbers could be: