SOLUTION: Please help!
At the local grocery store, apples are $1.20 per pound and oranges are $1.80 per pound. If the grocer wants to offer a 1.4-pound bag of mixed fruit for $1.62 per pou
Algebra ->
Customizable Word Problem Solvers
-> Mixtures
-> SOLUTION: Please help!
At the local grocery store, apples are $1.20 per pound and oranges are $1.80 per pound. If the grocer wants to offer a 1.4-pound bag of mixed fruit for $1.62 per pou
Log On
Question 951382: Please help!
At the local grocery store, apples are $1.20 per pound and oranges are $1.80 per pound. If the grocer wants to offer a 1.4-pound bag of mixed fruit for $1.62 per pound, how many pounds of apples must he use? Answer by josgarithmetic(39632) (Show Source):
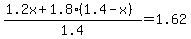
You can put this solution on YOUR website! x, how many pounds apples.
1.4-x, how many oranges.
The two-part mixture problem can be handled in one variable.
Now just account for price.
Simplify and solve for x.