SOLUTION: I need to write and equation and then solve it. Please help! ..... 20 is what percent of 8?
Algebra
->
Customizable Word Problem Solvers
->
Mixtures
-> SOLUTION: I need to write and equation and then solve it. Please help! ..... 20 is what percent of 8?
Log On
Ad:
Over 600 Algebra Word Problems at edhelper.com
Word Problems: Mixtures
Word
Solvers
Solvers
Lessons
Lessons
Answers archive
Answers
Click here to see ALL problems on Mixture Word Problems
Question 652757
:
I need to write and equation and then solve it. Please help! ..... 20 is what percent of 8?
Found 2 solutions by
rfer, MathLover1
:
Answer by
rfer(16322)
(
Show Source
):
You can
put this solution on YOUR website!
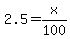
20/8=2.5=250%
Answer by
MathLover1(20850)
(
Show Source
):
You can
put this solution on YOUR website!
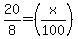
so,
is
percent of