SOLUTION: The chemical formula for sulfuric acid is h2so4. If the weight of the acid was 1470 grams, how much did the sulfur weight? (h : 1, s : 32, O 16)

Algebra ->  Customizable Word Problem Solvers  -> Mixtures -> SOLUTION: The chemical formula for sulfuric acid is h2so4. If the weight of the acid was 1470 grams, how much did the sulfur weight? (h : 1, s : 32, O 16)      Log On

Ad: Over 600 Algebra Word Problems at edhelper.com


   



Question 64235This question is from textbook An Incremental Development
: The chemical formula for sulfuric acid is h2so4. If the weight of the acid was 1470 grams, how much did the sulfur weight? (h : 1, s : 32, O 16) This question is from textbook An Incremental Development

Answer by 303795(602) About Me  (Show Source):
You can put this solution on YOUR website!
Molar mass for sulphuric acid = (2 x 1 + 1 x 32 + 4 x 16 = 98 grams)
Using simple proportion and the mass of sulphur in the molar mass gives
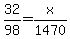
32%2F98+=+x%2F1470
%2832%2F98%29+%2A1470=+x
%2832%2F98%29+%2A1470=+x
x = 480 grams